Ciao a tutti, nella prima parte dell’articoloabbiamo parlato in generale di cosa è possibile fare o meno e quali siano le prescrizioni quando si vuole realizzare una nuova apertura su muratura portante, nella seconda parte dell’articolo abbiamo visto invece come calcolare la rigidezza della parete prima e dopo l’intervento. In questa terza e conclusiva parte andremo a vedere le restanti verifiche da effettuare costruendo la curva di capacità della parete prima e dopo l’intervento.
Esempio di cerchiatura metallica
Il calcolo della resistenza a taglio del singolo pannello murario A differenza delle murature nuove dove viene utilizzato criterio di rottura a taglio scorrimento di Coulomb per le costruzioni esistenti viene utilizzato il metodo di rottura a taglio-diagonale utilizzando la famosa formula di Turnsek cacovic:
dove:
l = la lunghezza del pannello
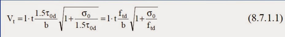
t = spessore del pannello;
σ0 = tensione normale media, riferita all’area totale della sezione (σ0 = P/lt, con P forza assiale agente positiva se di compressione);
ftd = resistenza di calcolo a trazione per fessurazione diagonale della muratura pari a 1,5 volte laresistenza di calcolo a taglio della muratura;
b = coefficiente correttivo legato alla distribuzione delle tensioni tangenziali sulla sezione, dipendente dallasnellezza della parete. Si può assumere b = h/l, comunque non superiore a 1,5 e non inferiore a 1, con h altezza del pannello.
N.B: – essendo un analisi non lineare non viene utilizzano nessun fattore di sicurezza. facendo un confronto tra stato attuale e modificano non viene utilizzato il fattore di confidenza F.C.
Il calcolo dello spostamento elastico ed ultimo del singolo pannello
– Spostamento elastico
de = Vt / Ki (spostamento al limite elastico dell’i-esimo setto) dove Vt è il taglio ultimo dell’elemento e Ki è la sua rigidezza
– Spostamento ultimo
du = lo spostamento ultimo è dato dal valore minimo tra i seguenti:
du= 0,004 · h dove h è l’altezza deformabile del maschio murario;
du= de · μ dove μ è la duttilità del maschio murario e vale 1,5 per le murature esistenti e 2 per le murature nuove o consolidate.
N.B. in realtà la normativa dice di prendere du= 0,004 · h ma ritengo più corretto utilizzare la soluzione da me proposta.
Il calcolo dello spostamento elastico ed ultimo del telaio in acciaio
Per quanto riguarda il telaio in acciaio avremo:
–Taglio Ultimo
Vu= 2·M,rd·n/h
– Spostamento Elastico
de = Vu/Ktelaio
– Spostamento Ultimo
du=de·μ dove μ è la duttilità del telaio che vale 2,5.
Costruzione delle curve di capacità
Ora che conosciamo la rigidezza, il taglio ultimo e gli spostamenti elastico ed ultimo di ogni singolo elemento della nostra parete prima e dopo l’intervento possiamo andare a creare le nostre curve di capacità dei singoli elementi.
La curva di capacità totale della parete è data dalla somma delle curve di capacità dei singoli elementi. Si costruiscono così le curve di capacità della parete allo stato attuale e allo stato modificato.
La normativa non specifica come valutare lo spostamento ultimo dell’intera parete, quindi spetta la professionista scegliere un criterio:
lo spostamento che porta a rottura il primo maschio murario
lo spostamento che porta a rottura l’ultimo maschio murario. (SCONSIGLIATO)
il punto dove il taglio resistente vale 0,85 Vu.
La curva di capacità di una parete data dalla somma delle curve dei suoi elementi
Infine andremo a confrontale le curve di capacità della parete prima e dopo l’intervento
affinché le verifiche risultino soddisfatte dovremo verificare che:
Vt.fin.u ≥ Vt.in.u
dufin.≥duin.
0,85•Kin≤Kfin ≤1,15• Kin
Eccoci arrivati alla fine di quest’articolo diviso in più parti sul calcolo delle apertura su muratura portante. Spero di essere riuscito ad essere abbastanza esaustivo.
Se sei interessato c’è anche una video chiacchierata sul tema che puoi trovare a questo link.
CFD FEA Service SRL è una società di servizi che offre consulenza e formazione in ambito ingegneria e IT. Se questo post/prodotto ti è piaciuto ti invitiamo a:
Quante volte, passeggiando nei centri storici, notiamo calcinacci per terra e zone transennate a seguito dell’intervento dei Vigili del Fuoco? Dovete sapere che, quando questo accade, oltre a ritenersi fortunati per il fatto che nessuno Read more…
In questo articolo affronteremo il tema delle coperture spingenti, spesso citate nel contesto della vulnerabilità sismica. Questa tipologia di coperture, molto comune negli edifici esistenti in muratura che caratterizzano il nostro territorio, può essere causa Read more…
Progettazione antisismica nelle zone costiere e turistiche: cosa sapere Zone costiere e rischio sismico: una realtà spesso sottovalutata Quando si parla di rischio sismico, si pensa spesso solo alle zone interne dell’Italia. Tuttavia, anche molte Read more…